中国羽毛球再添一奖牌!顶级奥运选手打过来的羽毛球,有多难接?

8月5日,巴黎奥运会羽毛球女单决赛,中国队选手何冰娇获得银牌。作为一项高强度、短间歇特征的运动,羽毛球风靡全球,得到了人们的广泛喜爱。

羽毛球运动要求运动员在场上通过各种击球技术配合下肢移动步法,在接住对手击球的同时将球回击至对手不易接住的位置,在竞技体育中有着独特的魅力。

不知道你有没有想过,顶级奥运选手打出的羽毛球到底有多厉害? 他们又是怎么挑战着人类的极限,把这项运动的魅力发挥到了极致?

羽毛球比赛矢量图 中国羽毛球再添一奖牌!顶级奥运选手打过来的羽毛球,有多难接?

8月4日,中国选手何冰娇在比赛中。新华社记者 贾浩成 摄

羽毛球:比高铁还快的球

羽毛球是目前速度最快的球类运动 ,在最新的吉尼斯世界纪录大全的记载中,兰基雷迪击出一记 565 公里/小时 的羽毛球,成为吉尼斯世界纪录的保持者。而一般高铁的速度为 250 公里/小时。

羽毛球比赛矢量图 中国羽毛球再添一奖牌!顶级奥运选手打过来的羽毛球,有多难接?

各种球类运动的最高运动速度。图片来源:Physics of ball sports

羽毛球为什么能飞得那么快?主要是因为羽毛球比较轻 (重量只有 4.74~5.50 克),并且球拍足够长 (不超过 680mm)。当运动员在手臂、手腕以及球拍的共同作用下发力的时候,较轻的重量有利于羽毛球产生更大的加速度,而较长的球拍能够产生较大的线速度。

但羽毛球场地的长度仅为 13.4 米,若以 400 公里/时的球速计算,羽毛球飞越全场仅需约 0.12 秒,而人眨一次眼睛约需 0.2 秒,如果羽毛球按照初始速度飞行,一眨眼的工夫就已经飞了全场了。

当然实际上羽毛球的速度并不是一成不变的。世界纪录所说的羽毛球速度,指的是羽毛球脱离球拍时的速度,而羽毛球在空中的运动只受到空气阻力和重力的作用,它的速度会逐渐减小,这时我们的眼睛才终于能找得到球了。但这也只是找得到球,离接得到球并顺利打回去还有很远的距离。

同时,羽毛球的羽毛是朝同一时针方向倾斜排布的。为了分析它的受力,我们可以把每一片羽毛看作一个薄板,其在空气中前进时会受到方向垂直于平面且与速度方向相反的力,如下图所示:

羽毛球比赛矢量图 中国羽毛球再添一奖牌!顶级奥运选手打过来的羽毛球,有多难接?

羽片受力示意。图片源自:参考文献[1]

我们发现,这些力的合力会使得羽毛球整体绕轴线旋转,当羽毛球以更快的速度行进时,受到的阻力会越大,合力产生的力矩也会随之增大,使得羽毛球更快旋转。如果我们用角速度 Ω 与羽毛轴向半径 R 相乘,得到羽毛外缘处的线速度,就会发现其几乎与行进速度呈线性关系。

羽毛球比赛矢量图 中国羽毛球再添一奖牌!顶级奥运选手打过来的羽毛球,有多难接?

羽毛球旋转线速度与行进速度关系。图片源自:参考文献[1]

由图可知,羽毛球行进速度越快,旋转速度越快,而这种旋转有利于羽毛球在飞行时的稳定,使得运动员能打出漂亮的击球轨迹

顶级羽毛球员:

超级计算机+超级机器人

不同的击球动作(包括高远球、吊球、网前球、平抽球、扣球 等)中,扣杀球无疑是最受大家喜爱的,并且在比赛中能够起到一锤定音的作用。有研究显示,男子单打回合的最后一次击球使用扣杀球的频率为 29.1%±8.4%,而杀球的速度能够达到 400 公里/时以上,画面极富力量感与冲击感。

而在不同的战术场景中,教练会提出不同的要求,调整击球的速度和方向,比如在双打中强调封攻,在单打中强调点杀和劈杀。这一系列战术,都源自对羽毛球运动轨迹的理解。

不同于网球,羽毛球本身质量较轻,且飞行时受空气阻力影响较大,其飞行轨迹严重偏离抛物线的形状。羽毛球在空中飞行时,除了受到重力外,还受到大小与速度平方成正比,方向与速度反向的阻力。

羽毛球的具体运动轨迹则由初始速度的大小和方向决定。有研究提出了羽毛球飞行遵循的运动方程,并做了不同初始速度下羽毛球飞行轨迹的计算值(实线)与实际值(散点)的对比。由图我们就能理解羽毛球的运动轨迹,也找到了那种明明感觉羽毛球要出界,它却近似垂直落下来的原因。

羽毛球比赛矢量图 中国羽毛球再添一奖牌!顶级奥运选手打过来的羽毛球,有多难接?

M, ρ 和 S 分别是羽毛球的质量、密度和截面积,U是速度的大小,U和g是速度和重力加速度的矢量,而 CD 是与测试条件相关的阻力系数。(来源:参考文献[1])

羽毛球比赛矢量图 中国羽毛球再添一奖牌!顶级奥运选手打过来的羽毛球,有多难接?

不同初始速度羽毛球轨迹计算值与实际值的对比。图片来源:参考文献[1]

可以说,顶级羽毛球运动员的大脑都是一台精密的计算机,而身体则是一台精确的机器 。在比赛过程中,运动员们通过调整击球的力度与角度,让球落到对手难以顾及的地方,而为了防守,运动员们需要不断进行急停急转、快速加速和变向运动。

据统计,在 45 分钟的比赛中,羽毛球运动员要做 300 次以上身体位置调整幅度超过 90 度的动作改变 。而这,对运动员们的眼力、应变能力、击球能力等都提出了极高的要求

羽毛球比赛并不休闲

需要“超人”一样的体能

有项研究将世锦赛男单决赛、世界羽联超级系列赛和非洲羽毛球锦标赛的比赛时间放在一起进行统计分析,发现羽毛球男单比赛的持续时间约为 24.5~78.0 分钟。同足球(90 分钟)、篮球(40 或 48 分钟)相比,实际比赛时间看起来不长,但在这样短的时间里,羽毛球运动员要完成扣杀、劈杀和突发性半蹲位起跳、回动、移动等高强度、高速度的动作,几乎一刻不能停,这对体力的消耗可想而知。

在一场单打比赛中,运动员击球的次数一般都在数百次乃至上千次以上 ,而且击球的速度几乎是网球比赛中最快速的发球或棒球职业联赛中最快速的掷球的两倍。其中数百次的击球,需要大幅度挥动胳膊,这大大超过了棒球职业联赛中的挥臂次数

心率可以在直观反映运动负荷的同时间接推算能量代谢,而肌肉乳酸浓度能够反应肌肉力量爆发的强度。通过测量羽毛球运动员的生理参数指标可以发现,尽管不同的研究存在差异,但运动员的心率至少都在 150 次/分钟以上,达到 180 次/分钟的情况也并不罕见。

国外一项基于自 2010 年 1 月到 2022 年 9 月之间的 27 份文献记录研究也分析比较了各种持拍类运动的心率及肌肉乳酸浓度,发现相较于乒乓球运动的心率及肌肉乳酸浓度(103.99(±15.09)bpm和1.2(±0.4)mmol/L),羽毛球运动的心率及肌肉乳酸浓度高达 182.6(±2.7)bpm 和 10.11(±4.99)mmol/L,运动强度可见一斑。

羽毛球比赛矢量图 中国羽毛球再添一奖牌!顶级奥运选手打过来的羽毛球,有多难接?

羽毛球单打比赛的能量代谢和生理学参数。图片来源:参考文献[2]

下图是中国国家羽毛球队的体能测试项目表,你可以对照参考下自己的体能,看看要想和国家队运动员同台竞技的话,体能差异有多少吧。

羽毛球比赛矢量图 中国羽毛球再添一奖牌!顶级奥运选手打过来的羽毛球,有多难接?

中国羽毛球协会国家羽毛球队入队体能测试项目及标准(试行)。图片来源:中国羽毛球协会官方网站

作为一项高技巧、高强度的运动,羽毛球运动员们不仅需要很好的身体素质和技术,比赛中的心理状态、战术安排也发挥着重要作用 。正如围棋中“提前预判对方意图,抓住对方的弱点”,由于羽毛球球速过快,场地较小,很难全程用视觉跟进羽毛球,所以对来球几乎都要进行预判。

只有了解对方的弱点,及时发现对方的失误,才有把握去战胜对方。很多时候,一场精彩的羽毛球比赛,不仅是技术和体能的竞赛,也是一场精彩的心理战,而羽毛球运动员们,也是心理战的高手

每一位优秀的运动员成绩的背后,都是艰苦而不懈的努力,是不断拼搏的体育精神。这些幕后的锻炼,和赛场上的竞技精神使得他们获得远超常人的殊荣。让我们祝贺我国的羽毛球运动员,为他们点赞!

话说回来,如果我们真的和奥运选手来一场“友谊赛”,想必输赢已经不重要了吧,毕竟我们也是和奥运选手同台竞技的人呢,四舍五入相当于参加了奥运会了。

参考文献

[1] Cohen C, Texier B D, Quéré D, et al. The physics of badminton[J]. New Journal of Physics, 2015, 17(6): 063001.

[2] 张俭.羽毛球竞技运动特点分析[J].体育世界(学术版),2019,(06):89-90.

[3] 王适娴,郭振向.羽毛球单打比赛时间结构与能量供应特征的研究综述及训练启示[J].中国体育科技,2023,59(04):3-10.

[4] Cádiz Gallardo MP, Pradas de la Fuente F, Moreno-Azze A, Carrasco Páez L. Physiological demands of racket sports: a systematic review. Front Psychol. 2023 Mar 30;14:1149295.

策划制作

作者丨李瑱 中国科学院长春光学精密机械与物理研究所 博士

审核丨冯强 国家体育总局体育科学研究所 国民体质与科学健身研究中心 副主任

马勇 武汉体育学院 教授

策划丨何通 林林

责编丨何通

审校丨徐来

速度不输高铁!“球类速度王者”羽毛球究竟如何飞行?

说到羽毛球,想必每个人都不陌生。即使不是羽毛球爱好者,也会经常在各种运动场地或者广场上看到打球的人,也会对林丹、李宗伟 等著名球员有所耳闻。

羽毛球比赛矢量图 中国羽毛球再添一奖牌!顶级奥运选手打过来的羽毛球,有多难接?

然而,即使是经常打球的爱好者也未必留意过羽毛球飞行的细节

羽毛球比赛矢量图 中国羽毛球再添一奖牌!顶级奥运选手打过来的羽毛球,有多难接?

羽毛球为什么设计成这样?它飞行时总是较重的球头朝前么?羽毛球最远能飞多远?它飞行时会旋转么? 想必这些问题已经引起大家的好奇了,那就一起走进正文吧~

Part 1:羽毛球的翻转

只要打过羽毛球的人都会注意到一个现象,那就是当球朝你飞来的时候几乎都是球头在前 的姿态。换位思考一下,对手一定也会看到同样的现象。那么只有一种可能,就是每一方击球后,羽毛球都会翻个跟头 ,然后掉头往回飞。问题在于,掉头是击球瞬间就完成的么?也许我们想当然地会这样认为。

羽毛球比赛矢量图 中国羽毛球再添一奖牌!顶级奥运选手打过来的羽毛球,有多难接?

图1 (a)初始速度约18.6 m/s且初始角速度约206 rad/s的快照(间隔5ms);(b) 初始速度约10.4 m/s且初始角速度约28 rad/s的快照(间隔6.5ms)。| 图片源自文献[1]

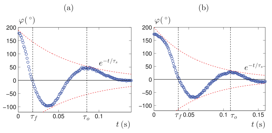
可惜答案并不是这样。如上图所示,击球的瞬间基本在1ms左右 就完成了,然而一般在20ms左右 球才能完成翻转。随后还要经历阻尼震荡 的过程,才能使其球头指向速度的方向。为了更直观地展现这个过程,我们在图2中画出了球头指向与速度方向间的夹角φ 随时间的演化。其中τ、τ以及τ 分别代表第一次翻转至球头朝前用时、阻尼振荡时间以及达到稳定的特征时间。

羽毛球比赛矢量图 中国羽毛球再添一奖牌!顶级奥运选手打过来的羽毛球,有多难接?

图2 两种情况下夹角的演化示意 | 图片源自文献[1]

可见,经历了0.1-0.15s的时间,羽毛球看上去就已经是球头朝前的姿态了,因此除了一些特殊的击球情况,我们难以用肉眼捕捉到 羽毛球击球后迅速翻转调整的过程。那么。羽毛球的这一翻转行为与其自身的结构有什么关联么?

羽毛球比赛矢量图 中国羽毛球再添一奖牌!顶级奥运选手打过来的羽毛球,有多难接?

图3 行进时羽毛球的受力分析 | 图片源自文献[1]

答案是有的。羽毛球由软木材质的球头以及用鹅毛/鸭毛或塑料等材质制成的裙状结构 组成,其中球头较重而裙状结构截面积较大。我们不妨把这一特征抽象为如图中B和C标识的质量大、截面积大 的裙状区域以及质量小、截面积小 的球头区域。

在飞行时,假定球头方向与速度方向并不一致,有一个夹角φ,则作用在B和C上的空气阻力就会分别产生一个以质心G为参考点的力矩。一方面裙状结构的截面积大,空气阻力F 更大,另一方面BG相比GC更长,因此球必然会围绕质心逆时针旋转,直至球头指向速度方向

羽毛球比赛矢量图 中国羽毛球再添一奖牌!顶级奥运选手打过来的羽毛球,有多难接?

图4 羽毛球形状示意 | 图片源自文献[1]

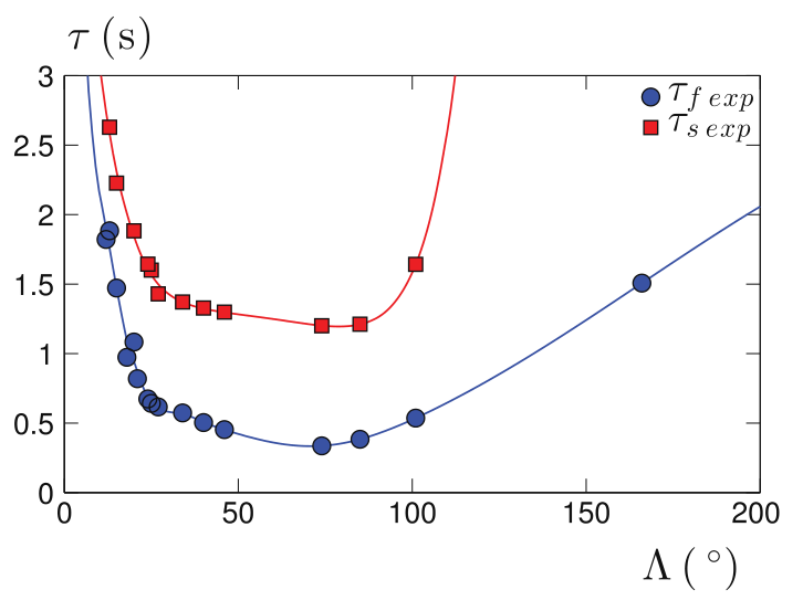
如果上面的重量分布是很容易就能想到的,那么关于羽毛球为何选择接近45°的张角 可能很少有人思考过。其实这是与羽毛球能否经历翻转更快达到稳定息息相关的。曾有学者用小铁球和塑料材质的裙状结构复刻了羽毛球的形状和质量分布特征,在水中以裙状结构朝下的方式自由释放,让其在下沉过程中翻转,下图显示了其张角是如何影响翻转和稳定时间的

羽毛球比赛矢量图 中国羽毛球再添一奖牌!顶级奥运选手打过来的羽毛球,有多难接?

图5 张角如何影响翻转及稳定时间 | 图片源自文献[1]

可见,张角过小和过大都不利于翻转的稳定,而从30°到90°的范围 会经历一个稳定较快的平台区。显然,羽毛球的张角正是落在这个区域内。

Part 2:羽毛球的飞行轨迹

与网球不同,羽毛球由于其球本身质量较轻,飞行时受空气阻力影响较大,所以其飞行轨迹严重偏离抛物线的形状 。一般来讲,羽毛球飞行遵循的运动方程可以写作

羽毛球比赛矢量图 中国羽毛球再添一奖牌!顶级奥运选手打过来的羽毛球,有多难接?

其中, 和分别是羽毛球的质量、密度和截面积,是速度的大小,Ug 是速度和重力加速度的矢量,而则是与测试条件相关的常数。不难理解,除了令其做斜抛运动的重力项外,球还会收到大小与速度平方成正比,方向与速度反向的阻力 。而具体轨迹则由初始速度的大小和方向 决定。对于羽毛球,我们可以定义一个与其飞行特征相关的量,称为气动长度

羽毛球比赛矢量图 中国羽毛球再添一奖牌!顶级奥运选手打过来的羽毛球,有多难接?

对于我们所使用的羽毛球,这个距离约为4.6m,它决定了羽毛球在自由竖直下落时最终的稳定速度为U=6.7m/s。下图中,我们可以看到不同初始速度下羽毛球飞行轨迹的计算值(实线)与实际值(散点)的对比 ,可见该运动方程可以较好地预测其轨迹。

羽毛球比赛矢量图 中国羽毛球再添一奖牌!顶级奥运选手打过来的羽毛球,有多难接?

图6 不同初始速度羽毛球轨迹计算值与实际值的对比 | 图片源自文献[1]

那么,羽毛球可以飞多远呢?我们不妨看看羽毛球做近似上抛运动后下落到与出发高度相同时行进的距离x的变化趋势。根据上面的运动方程,我们可以发现这一距离取决于羽毛球的初始速度。将飞行距离x关于初始速度仰角θ和速度大小U的关系 作图,可以得到下面的结果。

羽毛球比赛矢量图 中国羽毛球再添一奖牌!顶级奥运选手打过来的羽毛球,有多难接?

图7 行进距离(m)随初始速度方向(仰角)及速度大小的变化

只要打过羽毛球,这张图里面一定包含了一些你可以感同身受的信息点。比如我们发现无论使用的力气多大,似乎羽毛球的飞行总是在某一个距离附近“戛然而止” 。这张图中的速度上限已经达到了140m/s ,然而能达到的最远距离还是只有13.83m。而我们使用的羽毛球场地长13.4m ,这就是为什么羽毛球从一侧后场即使用尽全力也几乎只能打到对方后场,即使出界也不会出很多。

羽毛球比赛矢量图 中国羽毛球再添一奖牌!顶级奥运选手打过来的羽毛球,有多难接?

图8 羽毛球场地示意

有的读者可能会问,速度上限设置到140m/s,是不是太夸张了?羽毛球能飞这么快?其实并不夸张。2013年7月,马来西亚男双名将陈文宏在实验室的理想条件下杀球打出了493km/h 的惊人速度,相当于136.9m/s 。而也有消息称丹麦选手科丁曾打出506km/h 的杀球记录,即140.6m/s 。即使在比赛中,科丁也曾打出426km/h 的超快杀球。因此羽毛球是当之无愧的球类速度之王!

羽毛球比赛矢量图 中国羽毛球再添一奖牌!顶级奥运选手打过来的羽毛球,有多难接?

图9 科丁426km/h的超快杀球

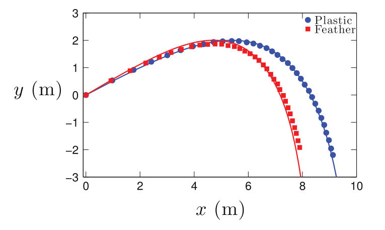
其实,羽毛球的飞行轨迹也与球的种类 有关。我们常见的有羽毛制球和塑料制球两种。下图显示了他们飞行轨迹的差异。

羽毛球比赛矢量图 中国羽毛球再添一奖牌!顶级奥运选手打过来的羽毛球,有多难接?

图10 羽毛制球与塑料制球的轨迹比较 | 图片源自文献[1]

一方面在初始角度和速度相同的情况下,塑料制球的可到达范围要比羽毛制球大 ;另一方面羽毛制球在飞行最高点附近的曲率更大 ,轨迹更接近“三角形”

羽毛球比赛矢量图 中国羽毛球再添一奖牌!顶级奥运选手打过来的羽毛球,有多难接?

图11 塑料制球

这是由于保证坚固程度以及成本较低的情况下,塑料制球往往偏重一些 。这也意味着在同样不出界的情况下,羽毛制球可以以更快速度飞行 ,从而减少对手的反应时间。因此羽毛制球往往更受青睐。

Part 3:羽毛球的旋转

大家可能留意过,羽毛球的羽毛是朝同一时针方向倾斜排布 的。这是无关紧要的设计么?其实不然。我们可以把每一个羽片看作一个薄板,其在流体中行进时会受到方向垂直于平面且与速度方向相反 的力,如下图所示。

羽毛球比赛矢量图 中国羽毛球再添一奖牌!顶级奥运选手打过来的羽毛球,有多难接?图12 羽片受力示意 | 图片源自文献[1]

我们立刻就会想到,这些力的合力会使得羽毛球整体绕轴线旋转! 当羽毛球以更快速度行进时,受到的阻力会越大,合力产生的力矩也会随之增大,使得羽毛球更快旋转 。如果我们用角速度Ω与羽片轴向半径R相乘,得到羽片处的线速度,就会发现其几乎与行进速度呈线性关系

羽毛球比赛矢量图 中国羽毛球再添一奖牌!顶级奥运选手打过来的羽毛球,有多难接?

图13 羽毛球旋转线速度与行进速度关系 | 图片源自文献[1]

而且,相比塑料制球,羽毛制球在飞行时的旋转速度明显更快 。分析表明,更快的旋转会限制羽毛制球的进动,这有利于羽毛制球在飞行时的稳定

羽毛球比赛矢量图 中国羽毛球再添一奖牌!顶级奥运选手打过来的羽毛球,有多难接?

看来,羽毛球的飞行细节真的是一门大学问。在这个过程中,我们不仅可以学到丰富的物理知识 ,还有助于了解球的飞行轨迹 。看完推送的小伙伴快点拿起球拍,看看球技有无精进吧~

羽毛球比赛矢量图 中国羽毛球再添一奖牌!顶级奥运选手打过来的羽毛球,有多难接?

参考资料:

[1] Cohen C, Texier B D, Quéré D, et al. The physics of badminton[J]. New Journal of Physics, 2015, 17(6): 063001.

[2] 羽毛球 (球) - 维基百科

[3] Kwan M W. It’sa Birdie… It’sa Shuttlecock… It’s Badminton: The Physics Behind the Badminton Shuttlecock[J].

[4] 杀球世界纪录再创新高!

编辑:云开叶落

相关问答

手工,小制作怎么做,六年级的,简单好作?

步骤二:雕刻图案把亚克力板一面的保护膜撕开,把图案用一点双面胶粘在亚克力板上,确保图案不会移动就可以用起子、刻刀等尖锐的物体沿着图案轮廓雕刻,把图...把...